セルロースの正体とは?食品添加物としての用途や特徴を詳しく解説
記事の監修

管理栄養士
川野 恵
フリーランスの管理栄養士としてレシピ開発や栄養のコラム作成のほか、外食チェーン店でのダイエットを意識した食べ方を紹介。現在はクリニックにて、生活習慣病などに悩む方々へ栄養指導を行なっている。

食品をはじめ、様々な用途として使用されるセルロース。
しかし名前からは想像できないことも多く、
「セルロースって、一体何?」
「具体的にどのように使われているの?」
「セルロースは健康に悪くないの?」
と疑問をお持ちではないですか?
そこで今回は、セルロースの概要と用途を詳しく解説していきたいと思います。
セルロースは食物繊維

簡単に説明すると、セルロースは食物繊維の一種です。
その中でも特に水に溶けない不溶性食物繊維として分類されており、食品で言うと大豆やごぼう、穀類などに多く含まれています。
そして一説によると、日本人が摂取する食物繊維の大半はセルロースだと言われています。
具体的には、日本人が摂取する食物繊維の約8割は不溶性食物繊維であり、さらにその内のほとんどがセルロースだと言われているのです。
セルロースは日常的に私達人間の体に取り込まれている成分なのですね。
そして少し化学的な面から解説してみると、セルロースは「細胞壁」の主成分でもあります。
細胞壁とは植物細胞の一部であり、まさに植物を形作る機能を果たしている構造のこと。
つまりセルロースは、化学的に見れば植物を形作る細胞壁の成分、食品としては日常的に人間に取り込まれる食物繊維だということです。
不溶性食物繊維を含む食品は?水溶性食物繊維との違いや効果も
この記事では、食物繊維を効率よく摂りたい!という方のための食材リストや、不溶性食物繊維・水溶性食物繊維という2種類の食物繊維のはたらき・効果などをご紹介。
バランスのよい食物繊維との付き合い方をお教えします。
不溶性食物繊維を含む食品は?水溶性食物繊維との違いや効果もの記事を見る
水溶性食物繊維とは。特性や効果、おすすめの摂取方法まで全て解説
食物繊維~水溶性・不溶性食物繊維まで幅広く解説していきたいと思います。また、効率的な摂取方法・便秘解消に関する解説も含めておりますのでぜひ参考にしてみてください。
水溶性食物繊維とは。特性や効果、おすすめの摂取方法まで全て解説の記事を見る
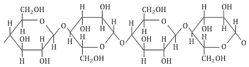
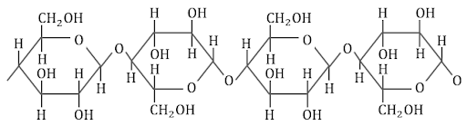
セルロースの構造

セルロースは植物を形作る上で重要な成分だとお話しました。
では次に、より具体的に「セルロースの構造」をみていきましょう。
分子式 は(C6H10O5)n で表記され、簡単に言うと炭水化物です
。
※「炭水化物と食物繊維ってどういうこと…?」と思われるかもしれませんが、食物繊維は、「体内で消化できない炭水化物」なんですよ。
そしてセルロースは、多数のβ-グルコース分子(ブドウ糖)が繋がった分子。
β-グルコースが、グリコシド結合によって直鎖状に重合した形をとっています。
※ちなみに、これがα-グルコースになったものが「デンプン」です。
【セルロースの分子構造】

セルロースの特徴
セルロースって具体的にどんな物質なの?という疑問にお答えします。
以下、簡単にセルロースの特徴をまとめました。
- 【セルロースの特徴】
- 1.繊維状
- 2.水と混ぜると膨張する
- 3.水や油、アルコールなどには溶けない
- 4.植物によって合成される
- 5.化学処理によって様々な形で利用される
まず、セルロースは食物繊維と言われるだけあって繊維状の物質です。
水や油には溶けません。水を含んで膨張し、これがお腹の中で便のカサを増加させます。
便のカサが増すことで腸が刺激され、便通改善・便秘改善の効果も期待できるのです。
またセルロースは、基本的に植物から作られます(生合成)。
しかし、一部の微生物やホヤ(海産動物)によっても作られることが分かっています。さらに、お酢を作る過程で出てくる酢酸菌もセルロースを作り出しており、その呼び名はなんと「ナタ・デ・ココ」。
ナタ・デ・ココの正体はセルロースだったのですね。
ちなみにホヤは、セルロースを合成できる唯一の動物としても知られています。
腸活におすすめの商品
オーガニック腸活乳酸菌パウダー 100g 1袋 乳酸菌 粉末 発酵食品由来の植物性乳酸菌30兆個入り!有機JAS認定 -かわしま屋- 【送料無料】 *メール便での発送*
日本古来の発酵食品のみを原材料とした、植物性乳酸菌のパウダーです。飲みやすい微粉末。毎日続けて腸から健康に!
3685 円(税抜)
\初回購入で300ポイントGET!/
かわしま屋の商品を見る >>【食品編】セルロースの利用

セルロースは化学処理をすることで形や性質を変え、日常のあらゆる場面で利用されています。
食品添加物や繊維、樹脂、断熱材などその用途は実に多様。
では具体的に「どのように利用されているのか?」について解説していきます。
まずは一番身近な「食品」としてのセルロースからみていきましょう。
食物繊維
セルロースは不溶性食物繊維に分類され、食品としては大豆やごぼう、穀類などに多く含まれる成分。
食品を通じてセルロースを摂取すると、私たちの体内では食物繊維として利用されます。
そして、不溶性食物繊維には体内で水を含んで膨張する性質があり、膨張したセルロースは便の体積を増やし、腸を刺激。
結果として、便通改善・便秘改善の効果が期待できるのです。
また食物繊維は、私たちの体の健康維持の貢献してくれる「善玉菌」のエサとしての役割もあります。
善玉菌のエサは「プレバイオテクス」と言われており、腸内フローラを整えるための重要な栄養素になので、積極的に摂りたい栄養の1つです。
セルロースは食品添加物の素材としても使われているため、あまりよくないイメージを持ちがちですよね。ただ、食材に含まれる食物繊維としては体にも良い影響を与えるので、ぜひプレバイオティクスについても知っておいてください。
プレバイオティクスとは―プロバイオティクスとの違いと食品・サプリ
健康時に大きく貢献してくれる「善玉菌」。そのエサとなるプレバイオティクス(食物繊維)とは具体的に何なのか?について解説しています。
プレバイオティクスとは―プロバイオティクスとの違いと食品・サプリの記事を見る
食品添加物(チーズ等)

セルロースは、食品添加物の素材としても利用されています。
主に粉チーズやピザ用チーズに利用され、細かく刻んだチーズ同士がくっつかないようにする役割を担っています。
みなさんは見たことがあるでしょうか?
粉チーズなどの食品表示欄をよく見ると、「セルロース」と表示されているんです。
またセルロースはチーズ以外にも、ゼリーやドリンク、アイスクリームにも使用されており、こちらは「安定剤(粘り気)」としての役割があります。
そして、食品添加物と聞くと「体に悪いんじゃないの…?」と不安に思う方もいるでしょう。
しかし、セルロースは食物繊維であり、直ちに健康に害を及ぼすことは考えにくいと言えます。
ただし、正確な情報が不十分で賛否両論あるのが現状のため、不安な方は摂取を控えてもいいかもしれません。
【その他】セルロースの利用

続いては、食品以外でのセルロースの利用場面について簡単にご紹介します。
【繊維編】セルロースの利用
セルロースは、繊維としても利用可能です。
細かくは「再生繊維」と呼ばれ、木材中のセルロースが利用されたもの。
木材から取り出したセルロースを化学処理によって溶かし、再び繊維の形にして作られます。
元々は短いセルロースを、処理によって長いセルロース(繊維)にして利用されるのです。
再生繊維の種類としては、レーヨンやポリノジック、キュプラなどがあります。
【樹脂編】セルロースの利用
セルロースはなんと、樹脂にも形を変えることができます。
綿火薬
セルロースを硝酸という物質で処理をすると、綿火薬と呼ばれる物質ができます。
これは化学的にはニトロセルロースと呼ばれ、塗料(ラッカー塗料)や火薬、接着剤として利用されています。
皮膜形成剤
こちらも同じく化学的にはニトロセルロースと呼ばれ、口紅やマニキュアなどの皮膜形成剤として利用されています。
水で溶かすと粘り気がでる性質を利用しています。
セルロイド合成樹脂
セルロイドは、ニトロセルロースと樟脳という物質を主原料として作られる合成樹脂です。
もともとは世界初のプラスチック素材として重宝されていましたが、自然発火の危険性が問題となって次第に利用されなくなってしまいました。
今はギターのピックや眼鏡のフレームなど一部でしか使用されていません。
アセチルセルロース(酢酸セルロース)合成樹脂
アセチルセルロースはセルロースを原料として作られる合成樹脂。
繊維やフィルム、カーテン地、塗料など幅広い場面で利用されています。
一般的なプラスチックよりも海の中で分解されるスピードが早く、環境に優しい樹脂としても知られています。
【バイオ編】セルロースの利用

バイオマスエタノール生成
セルロースは、バイオエタノールの原料となります。
植物などから取り出したセルロースを酵素を用いて糖分へ分解した後、微生物の発酵作用によってエタノールに変換されます。
【セルロースを原料としたエタノール生成】

バイオセルロース(ナノ繊維シート)
バイオセルロースは、酢酸菌が作る繊維シートのこと。
ココナッツウォーターでナタ菌(酢酸菌)を培養すると、発酵作用によってココナッツウォーターの表面が少しずつシート状に固まっていきます。
そしてそれら繊維のきめ細やかさが美容マスクとして活用されているのです。
※ナタデココの製法と同じです。
●管理栄養士からのコメント
食品の裏面にある原材料をみると、なんだか見慣れないカタカナ言葉が羅列されていて驚いたことがあるのではないでしょうか。
セルロースもそんな見慣れない言葉の1つですが、実は普段から何気なく口にしている食物繊維の仲間だったのです。
セルロースは植物の細胞を隔てる壁のような役割をしていて、シャキシャキとした食感を生み出します。
またセルロースはヒトの体内では消化できないので、腸の中をお掃除しながら便として排泄されます。
セルロースは保水力が高いため、腸内の水分を吸い取りながら動いていき、水分が不足すると腸内に滞ってしまうときがあるのです。
そのため、腸内のお掃除効果を高めたい場合は、たっぷりの水分をセルロースと一緒に一緒に摂るといいですよ。
管理栄養士プロフィール
◎川野 恵
給食委託会社や仕出し弁当屋での献立作成を経験後、出産を機にフリーランスとして活動。
フリーランスの管理栄養士としてレシピ開発や栄養のコラム作成のほか、外食チェーン店でのダイエットを意識した食べ方を紹介。現在はクリニックにて、生活習慣病などに悩む方々へ栄養指導を行なっている。
身体は食べ物でできている事を意識し、健康で過ごせるよう多くの方を支えていける管理栄養士になりたいと日々活動しています。
SNSやブログを通して、
・管理栄養士として栄養指導に携わりたい!
・血圧や血糖など血液結果を注意された!
・美味しく食べてきれいに痩せたい!
という悩みを解決するための情報を発信しています。
▼Twitter
@kawa040508
セルロースに関するQ&A
- そもそもセルロースとは何ですか?
- セルロースは食物繊維の一種です。特
に水に溶けない不溶性食物繊維として分類されており、食品で言うと大豆やごぼう、穀類などに多く含まれている成分です。
化学的な面から見ると、植物の細胞壁を構成する主成分でもあります。
- セルロースは食べ物ですか?
- セルロースは植物を構成する成分であり、食物繊維です。
特に食品から摂取した場合は食べ物といえるでしょう。
整腸機能も期待できます。
- セルロースの構造を教えてください。
- 分子式 は(C6H10O5)n で表記されます。
簡単に言うと炭水化物です。
多数のβ-グルコースが、グリコシド結合によって直鎖状に重合した形をとっています。
- セルロースは食品添加物ですか?
- セルロースは食品添加物の素材としても利用されています。主に粉チーズやピザ用チーズに利用され、細かく刻んだチーズ同士がくっつかないようにする役割を担っています。
またゼリーやドリンク、アイスクリームにも使用されており、こちらは「安定剤(粘り気)」としての役割を担います。
- セルロースは健康に悪いものですか?
- 食品添加物と聞くと健康に悪いというイメージが強い方もいるかもしれませんね。
しかしセルロースは食物繊維の一種であり、直ちに健康に害を及ぼすとは考えにくいでしょう。
ただ、正確な情報が不十分で賛否両論あるのが現状のため、不安な方は摂取を控えてもいいかもしれません。
- セルロースは食品以外にも利用されているのですか?
- はい、食品以外でも幅広い用途があります。
化学処理によって形を変え、繊維や樹脂となったり、エタノール生成の原料や美容マスクとして利用されたりと実に多様です。
詳しくは本文をご覧ください。
腸活におすすめの商品
オーガニック腸活乳酸菌パウダー 100g 1袋 乳酸菌 粉末 発酵食品由来の植物性乳酸菌30兆個入り!有機JAS認定 -かわしま屋- 【送料無料】 *メール便での発送*
日本古来の発酵食品のみを原材料とした、植物性乳酸菌のパウダーです。飲みやすい微粉末。毎日続けて腸から健康に!
3685 円(税抜)
\初回購入で300ポイントGET!/
かわしま屋の商品を見る >>



もくじ

